新闻中心 > 公司新闻

吸波材料相关知识

更新时间:2021-11-16


    吸波材料在解决高频电磁干扰技术上,完全采用屏蔽的解决方式越来越不能满足规则了。因为诸多设备中,端口的设置及通风、视窗等的需求使得实际的屏蔽方法不可能形成像法拉第电笼那样的全屏蔽电笼,端口尺寸技术是设备高频化的一大威胁。另外,困扰人们的还有另外一个技术,在设备实施了有效的屏蔽后,对外干扰技术虽然解决了,但电磁波干扰技术在屏蔽系统内部仍然存在,甚至因为屏蔽导致干扰加剧,甚至引发设备不能正常工作。这些都是屏蔽存在的技术,也正是因为这些技术的存在,吸波材料有了用武之地。

    吸波材料是指能够有效吸收入射电磁波并使其散射衰减的一类材料,它通过材料的各种不同的损耗机制将入射电磁波转化成热能或者是其它能量形式而达到吸收电磁波目的。不同于屏蔽解决方案,其功效性在于减少干扰电磁波的数量。既可以单独使用吸收电磁波,也可以和屏蔽体系配合,提高设备高频功效。 

    目前常用的吸波材料可以对付的电磁干扰频段范围从0.72GHz到40GHz。当然应用在更高和更低频段上的吸波材料也是有的。吸波材料大体可以分成涂层型、板材型和结构型;从吸波机理上可以分成电吸收型、磁吸收型;从结构上可以分为吸收型、干涉型和谐振型等吸波结构。吸波材料的吸波效果是由介质内部各种电磁机制来决定,如电介质的德拜弛豫、共振吸收、界面弛豫磁介质畴壁的共振弛豫、电子扩散和微涡流等。 

    吸波材料的损耗机制大致可以分为以下几类:其一,电阻型损耗,此类吸收机制和材料的导电率有关的电阻性损耗,即导电率越大,载流子引起的宏观电流(包括电场变化引起的电流以及磁场变化引起的涡流)越大,从而有利于电磁能转化成为热能。其二,电介质损耗,它是一类和电极有关的介质损耗吸收机制,即通过介质反复极化产生的“摩擦”作用将电磁能转化成热能耗散掉。电介质极化过程包括:电子云位移极化,极性介质电矩转向极化,电铁体电畴转向极化以及壁位移等。其三,磁损耗,此类吸收机制是一类和铁磁性介质的动态磁化过程有关的磁损耗,此类损耗可以细化为:磁滞损耗,旋磁涡流、阻尼损耗以及磁后效效应等,其主要来源是和磁滞机制相似的磁畴转向、磁畴壁位移以及磁畴自然共振等。此外,最新的纳米材料微波损耗机制是目前吸波材料分析的一大热点。 

    由于篇幅所限,本文对吸波材料的损耗机制仅做了最为简约的叙述,对其详述及其结构设计及结构对吸波效能的干扰等方面将在以后的文章中做出解释。 

    总之,高速趋势的新科技正引领着世界范围内的各行各类电气、电子设备向高频化、小型化方向趋势,高频电磁干扰技术必将越发突显,吸波材料必然有越来越广阔的应用空间。 
 
 
    吸波材料的损耗型吸波机制

    上一篇文章,我们只是粗略地说明了一下吸波材料的类型和和吸波原理相关的知识。那么您可能会问:吸波材料为什么会吸收电磁波?在接下来的文章中,我们会向您较详细地说明吸波材料的两大类吸波机制。今天我们向您说明损耗型吸波机制。 
 
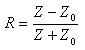
      材料损耗是指电磁波进入吸波材料内部,其能量被材料有效吸收,转化为热能或其他形式能量而耗散掉。设计这种类型的吸波材料一般需要考虑两个方面:阻抗匹配设计和衰减设计。阻抗匹配设计是指创造特殊的边界条件使入射电磁波在材料介质表面的反射系数R 最小(理想情况R = 0),从而使电磁波最大程度地进入材料内部。 
 
       根据电磁场理论[1] ,当电磁波由阻抗为Z0 的自由空间垂直入射到阻抗为Z 的半无限介质表面时,其反射系数R 满足: 
 
 ----------- (1) 
 
式中:  为介质波阻抗: , 为自由空间波阻抗。在使尽可能多的电磁波入射进入吸波材料内部,我们就是要尽可能降低反射系数R。
 
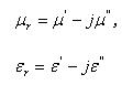
当介质有损耗时,相对磁导率 和相对介电常数 表示为复数: 
 , 
 

 
  
其中,实部 和 表征了材料的储能容量,如磁化能和电容;而虚部 和 为极化损耗。由公式(1) 很容易推得,理想情况下的阻抗匹配公式: 
 --------(2) 
        然而,由于u和e都是和频率 有关的函数,同一介质某个频率 的 和 难以都满足公式(2) ,因此该公式是相当苛刻的。为此, 秦柏、秦汝虎等人提出说说更容易让人接受的阻抗匹配公式:  
 
         即“广义匹配定律”[2 ]:  ,并且指出该公式可以作为有效地选购材料和材料厚度的判据, 利用该公式容易获得展宽、减轻、减薄的吸收剂。 
 
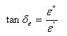
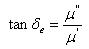
衰减设计是指选用合理的损耗介质(吸收剂)以及合理的材料结构特征,以便使进入材料内部的电磁波迅速地最大限度地衰减掉。损耗介质对电磁波的衰减能力常用电损耗角正切 和磁损耗角正切 来表示,其值越大,衰减能力越强。从这一点来看, 似乎意味着介质的 和 越

大,吸波能力越强。然而,损耗介质的选用和材料的结构设计往往是紧密联系在一起的。实际工作中,常常根据不同的结构设计方案来选用具有合适电磁参数的损耗介质。因此,一心追求大的 或 的做法是不对的。 
 
        简而言之,损耗型吸波机制就是尽可能增大入射电磁波量,尽可能加强热转换率,从而达到尽可能大的电磁波吸收功效。 

吸波材料的结构型吸波机制
    结构型吸波材料主要是依靠相消原理【1】来吸收电磁波的。相位相消型吸波材料是按照电磁波的干涉原理来设计的。现以单层吸波材料为例加以说明。把吸波材料放置在金属基体上,当厚度和入射电磁波长的关系满足:时,我们参看下图: 
 
 
 

    这 列平行的电磁波入射到吸波材料表面时,发生折射和反射。入射部分电磁波经底部金属板反射,再从吸波材料的表面形成出射波,且传播方向不发生变化。由于吸波材料的厚度是四分之一波长,所以出射波将和入射波的相位差正好是180度,波的干涉原理告诉我们此刻它们会发生完全相消,从而使得总反射波的发生大大衰减。这便是吸波材料的四分之一波长吸波原理。 
 
    吸波原理是说说很有效的微波吸收理论,利用这一原理,我们可以设计出任一频率电磁波的吸收材料。但事实上,我们还需考虑更深层次的技术,因为我们发现单凭这一原理是很难制造出实用的吸波材料。原因很简单,假设入射电磁波是1GHz频率的电磁波,根据公式,我们不难得到其波长为300mm,其四分之一是75mm,对于这么厚的吸波材料在绝大多数场合我们是很难应用的,且价格也是接受不了的。 
 
    这时我们不得不更深层次地讨论技术。 
 
    根据波的折射、反射原理,我们发现波的折射和反射系数跟空气和入射材料介质的性质有很大关系。假定空气的介电常数 和磁导率 为1,则可以得到1式: 
 
                   --------------------(1) 
 
    这时的 就是电磁波在介质中的实际传播波长。因此我们只需要控制材料的介电常数 和磁导率 ,使其乘积值大于1,就可以减少材料的厚度,制成我们实际可以应用的吸波材料。因而真正的吸波材料技术也就成了控制材料介电常数和磁导率的技术。 
 
    当吸波材料的有效厚度d 一定时, 则一定能吸收一定频率的波长,然而人们发现当波长发生变化时,吸波材料的总反射率就会急速上升, 使得这种吸波材料工作频带很窄。如“Salisbury screen”,这是说说单波段吸波材料,其吸波特点是在某一对应的中心频率有一强吸收峰,而这个有效吸波频带的宽度是很窄的。许多薄层吸波涂层以公式(1) 进行设计,同样干涉原理也可以在结构吸波材料的设计。例如,在几层夹芯结构吸波材料(由复合面板、夹芯和衰减片组成) 中,控制衰减片(起主要的吸波作用) 的阻抗和衰减片之间的距离,使各次反射波相位相反,就可以产生相消干涉,从而衰减反射波的能量。 
 
    最后,我们不妨指明一下,对于任何材料的可应用性还包裹材料的物理和机械性能,吸波材料也不例外。对于这种有效性,人们的常用办法是在不同基体材料添加有效粒子成份的办法来制造吸波材料,因而吸波材料制造技术的分析实际上在分析填充粒子的种类、密度同使用电磁波频段的关系,辅以结构性和基材的分析以及在窄频和宽频应用时吸收能效考虑的综合的实验型技术。


上一篇:导电布特性介绍      下一篇:屏蔽的相关知识